부식(Corrosion)
부식(Corrosion)이란 금속 표면에서 주위 물질과의 화학반응에 의해 표면에 변화가 일어나는 현상을 말한다. 일반적으로 금속이 산소와 결합하여 산화물을 생성하는 과정을 뜻하며, 철(Fe)과 산소(O2)가 반응하여 산화철(Iron Oxide)을 생성하여 녹이 형성된다.

모든 금속은 금속 원래의 상태로 돌아가려는 경향이 있다. 우리의 일상에서 우리가 주로 사용하는 금속들은 원래 금속산화물 형태였다. 그러나 여러 공정을 거쳐 높은 에너지 상태인 가공된 제품들로 사용된다. 따라서 금속들은 낮은 에너지 상태인 원래의 산화물, 즉 부식되어 있는 상태로 돌아가고자 하는데, 이 현상은 자연스러운 현상임에도 우리 일상에서는 자칫 사고로 이어질 수 있어 매우 중요한 요소가 된다.
위에서 언급한 대로 부식은 금속이 주어진 환경과 화합하여 비금속 산화물을 만들어 금속의 성능을 잃고, 소모해 가는 과정을 뜻한다. 결국 원래 상태였던 광석과 유사한 물질을 만들어 내는 것이다.

부식은 금속면에 일정한 양식으로 발생하는 부식인 경우 전체적으로 산화철(부식물인 녹)을 생성하여 부식 현상을 지체시키는 역할을 하게 된다. 격렬하게 발생하지 않는 한 부식부의 기능 및 기계적 강도를 직접 저하시키는 경우는 드물지만, 그 부식생성물에 의한 2차 장해의 잠재 원인이 될 위험성이 있다.
가장 일반적인 상온부식에 대해 설명하면 아래와 같다.
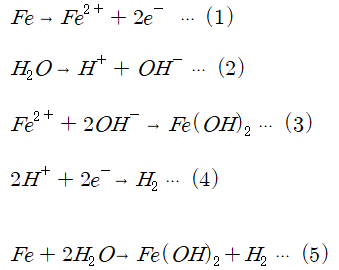
금속이 물과 접촉하고 있는 경우 다음과 같은 반응식을 가지며 부식이 진행된다.

물에 접촉하고 있는 금속은 (1)과 같이 Fe이온이 용출되고, 금속에는 전자(e)가 남게 된다. 그와 동시에 물은 (2)와 같이 전리되며, (1),(2)의 결과 (3)과 같이 Fe(OH) 2가 생성, (4)에 의해 수소가 생성된다.
위 식을 종합해 보면 (5)에 따른 반응식을 얻게 되는데, 여기서 생성된 Fe(OH)2는 별다른 환경적인 조건이 없는 한 금속 표면에 부동태로써 물과 금속표면과의 접촉을 차단시키는 역할을 하게 된다. 즉 부식은 일정 시간 진행되다가 서서히 부식현상이 줄어들게 된다.
상온의 일반부식은 pH농도와 용존산소의 영향을 받는다.
pH농도
물에 NaOH 등 알칼리성 물질이 용해되어 있는 경우 Fe(OH)2 피막은 더욱 안정성을 갖게 되어 부식이 발생하지 않게 된다. 하지만 그와 반대로 산성을 띄게 되는 경우 (5)식에 의해 생성된 Fe(OH)2는 다시 반대 방향으로 반응이 진행되며, 그로 인해 금속의 표면이 외부와 접하게 되어 부식을 촉진시키게 된다.

위 사진은 pH농도에 따른 부식률을 나타내며, pH가 4보다 낮은 경우 위에서 말한 대로 산화막이 용해되어 다시 진행된 부식으로 인해 부식률이 높아지게 된다. pH가 4에서 10 사이에 있는 경우 pH의 영향을 거의 받지 않으며, 10이 넘은 경우 부동화를 촉진시켜 부식률이 점점 낮아지게 된다.
용존산소
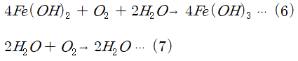
수중에 용존산소가 존재하는 경우 Fe(OH)2 및 H2는 각각 아래와 같이 산화된다.

(6), (7)와 같이 반응하게 되면, (5)는 그 감소량을 보충하기 위해 부식이 발생하게 된다. 금속의 표면 상태가 균일하고 물의 성상도 일정하면 일반부식이 발생하지만, 용존산소가 존재하는 경우 부식 초기에는 일반부식이 진행되다가도 공식으로 부식이 발전할 수 있다.

위 사진은 여러 온도에서 용존산소의 농도에 따른 부식률을 나타내며, 용존산소의 농도가 높아질수록 부식률이 높아지는 것을 확인할 수 있다. 온도가 높아짐에 따라 부식률이 높아지는 이유는 같은 산소농도에 있더라도 온도가 올라가면 용존산소의 확산속도가 빨라지기 때문이다.
'Safety Engineering > 부식' 카테고리의 다른 글
| 전기 방식 의 개념과 원리 Part.1 (0) | 2020.05.04 |
|---|---|
| 부식 (Corrosion) 의 개념과 원리 part.2 (0) | 2020.05.03 |
| 고온 부식 (High Temperature Corrosion) 의 개념과 원리 (2) | 2020.05.01 |
| 부식 피로 (Corrosion Fatigue) 의 개념과 원리 (0) | 2020.04.30 |
| 응력 부식 균열 (S.C.C Stress Corrosion Cracking) 의 개념 및 원리 (0) | 2020.04.29 |
댓글