부식(Corrosion)과 방식(Corrosion Protection)
부식(Corrosion)
부식은 우리 주변에서 항상 관찰된다. 집 앞을 지나다가도 볼 수 있고, 주차장, 지하철에서도 마음만 먹으면 발견되는 흔한 존재다. 이런 흔한 존재는 지하에 매설된 수도배관이나 가스배관에 서도 보이곤 하며, 석유화학 공장이나 발전소 등 산업현장에서도 발생한다. 하지만 이런 흔한 현상은 가끔 커다란 사고로 이어지기도 하고, 공정에서는 원치 않은 결과를 만들어 내기도 해 큰 금전적인 피해를 입히게 되며 부식방지를 위해 값비싼 재료를 사용한다. 금속재료에서 부식은 주변 환경 사이의 화학적, 전기화학적인 반응이며 이것이 부식이다.
그러나 좁은 의미에서 부식이란 금속재료가 사용 환경에서 퇴화되어 원래 자연 상태로 돌아가려 하는 것을 의미한다. 가스배관의 부식은 일반적으로 지하 토양에서 발생되며, 부식의 형태도 배관의 외부 부식이 주를 이룬다. 특히 강관의 원주 용접부와 강관 보수작업 후의 피복에서의 현장 피복 처리 불량에 따른 원인이 가장 많이 발생한다.
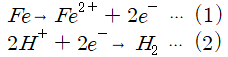
부식현상은 전기화학적 반응에 의해 진행되는데, 전기화학적인 반응이란 화학반응의 진행과정에 전자가 참여하는 반응이다.

위 (1) 반응은 철의 양극 반응(Anodic Reaction) 또는 산화반응이라고 하며, (2) 반응을 음극 반응(Cathodic Reaction)또는 수소이온 환원 반응이라고 한다. 양극 반응은 전자가 생성되는 반응이고, 음극 반응은 전자가 소모되는 반응이라고 할 수 있다. 따라서 모든 종류의 부식은 금속이 양극으로 될 때 발생한다고 해도 될 것이다.

방식(Corrosion Protection)
화학공정에서 부식은 장치 내부에 존재하는 물질이 계 밖으로 나올 수 있는 상황을 만들며, 환경을 오염시키거나 주위 사람에게 독성 물질을 접하게 할 수 있으므로 주의해야 한다. 또한 장치의 고장으로 인한 공정 흐름에 문제가 발생할 수 있으므로 장치는 반드시 부식을 예방하거나 부식에 견딜 수 있도록 설계되어야 한다.
일반적인 방식의 방법은 다음과 같다.
1. 유사 금속(Similar Metals)을 사용하는 방법
서로 다른 금속(전위차가 큰 금속 간)이 접촉되어 있을 경우 갈바닉대를 형성하며 갈바니 부식(Galvanic Corrosion)을 발생시킬 수 있으므로 가급적이면 다른 금속의 접촉을 없애야 한다. 혹시라도 접촉을 해야 할 상황이 생기면 전기적인 절연을 해야 한다.
2. 설계치보다 두꺼운 금속(Thicker Metal)을 사용하는 방법
일반적으로 전면 부식의 경우 사용 시간에 따른 부식률을 계산할 수 있으므로 사용하는 기간에 맞는 여유분의 두께로 설계한다. 즉, 부식이 균일하게 일어날 때 사용하는 기간 동안 예상되는 부식을 보상할 수 있도록 보다 두꺼운 금속으로 만드는 방법이다.
3. 희생 양극(Sacrificial Anode)을 사용하는 방법
부식을 방지하기 위한 가장 일반적인 방법이 희생 양극법이다. 보호되어야 할 금속과 접촉하는 다른 금속조각인 희생 양극을 도입하는 방법이다. 희생 양극은 보호받는 금속보다 더 부식성이 큰 금속을 사용하여야 한다. 결과적으로 부식이 발생될 때 보호해야 하는 금속을 대신해 희생 양극이 부식이 발생하고, 주기적으로 희생 양극을 교체할 수 있도록 해야 한다.
이 부식 내용은 갈바니 부식(Galvanic Corrosion)에 관한 사항으로 아래 링크에서 다루고 있다.
전면 부식 과 갈바니 부식 의 개념 및 원리
전면 부식(Uniform Attack)과 갈바니 부식(Galvanic Corrosion) 부식(Corrosion) 부식이란 어떤 물질이 주위 환경에 의해 의도하지 않은 화학 또는 전기반응으로 물질이 열화 되거나 파괴되는 현상을 말한다.
hello-onl.tistory.com
4. 귀금속(Noble Metal)을 사용하는 방법
부식 반응을 일으킬 성향이 낮은 금속이나 금속 합금을 선택하는 방법이 있다. 주로 부식되는 환경에서 니켈(Ni)이나 코발트(Co) 등 불활성인 금속을 사용하는 것이 이 방법이다.
5. 부식억제제(Corrosion Inhibiters) 사용
부식을 억제하는 방법으로 화학약품을 사용하는 방법도 있다. 이를 부식억제제라고 하며, 이런 약품들은 가격이 비싸기 때문에 보통 약품을 보충할 필요가 적은 닫힌 순환계에서 사용한다. 부식억제제는 여러 방식으로 작용한다. 어떤 것은 금속과 환경의 접촉이 감소되도록 금속의 표면에 피복을 형성하기도 하며, 어떤 것은 액체에 있는 소량의 용존산소와 반응하여 용존산소를 제거하는 역할을 하여 부식을 방지하기도 한다.
6. 피복처리(Coating)
부식을 방지하는 가장 좋은 방법은 금속의 표면을 페인트 등으로 피복처리하는 것이다. 이는 페인트와 공정 유체 사이에 반응성이 없거나 잔여물에 의해 공정에 지장을 주지 않는 경우 사용된다.
7. 비금속(Non-Metals) 사용
금속의 경우 부식이 발생하기 때문에 이를 방지하기 위해 재료 자체를 세라믹(Ceramics)이나 플라스틱(Plastics)과 같은 비금속을 사용하는 방법이다. 매우 흔한 방법 중 하나로 플라스틱을 이용한 관과 탱크 등을 만들기도 한다.
이런 여러 가지 방법 중 가장 많이 사용하는 방법은 금속표면의 피복을 하는 방법이다. 그러나 지하에 매몰된 금속은 도장이나 피복 등의 일반적인 방식 법으로는 방식이 어렵기 때문에 전위의 변화를 이용한 음극 방식 법을 사용한다. 이런 전위 변화를 이용한 방법은 희생 양극법, 외부 전원 법, 배류법 등이 사용된다.
'Safety Engineering > 부식' 카테고리의 다른 글
| 전기 방식 의 개념과 원리 Part.3(외부전원법, 배류법) (0) | 2020.05.06 |
|---|---|
| 전기 방식 의 개념과 원리 Part.2(희생양극법) (0) | 2020.05.05 |
| 부식 (Corrosion) 의 개념과 원리 part.2 (0) | 2020.05.03 |
| 부식 (Corrosion)과 pH농도, 용존산소와의 관계 (0) | 2020.05.02 |
| 고온 부식 (High Temperature Corrosion) 의 개념과 원리 (2) | 2020.05.01 |
댓글